他想,心碎的时候,就跟木材裂开一样,顺着纹路自上而下完全开裂。他刚去木材厂的时候,曾见过古斯塔夫•奥尔森拿一块硬木头,弄一个楔子进去,然后轻轻一拧那楔子,木头就顺着纹路,从头到尾裂开了。心脏也是如此,只要找到了纹路,轻轻一扭,一个手势,一句话,就能将它击毁。
——朱利安•巴恩斯《柠檬桌子》
他想,心碎的时候,就跟木材裂开一样,顺着纹路自上而下完全开裂。他刚去木材厂的时候,曾见过古斯塔夫•奥尔森拿一块硬木头,弄一个楔子进去,然后轻轻一拧那楔子,木头就顺着纹路,从头到尾裂开了。心脏也是如此,只要找到了纹路,轻轻一扭,一个手势,一句话,就能将它击毁。
——朱利安•巴恩斯《柠檬桌子》
实木因取材和加工容易,自古以来就是一种主要的建筑材料。很多人都喜欢实木门天然的美感,但一到购买的时候,往往会望而却步。
当然,实木门的价格不菲是一方面;另一方面,很多人对实木门的开裂心存芥蒂,尤其是当商家说“木材开裂是一种天然属性”的时候。

怎么会开裂?就像皮肤缺水皲裂、头发干枯分叉,木材作为一种生物,缺水了同样也会有问题,用到门上表现出来就是开裂。这种裂十分决绝,不因价格的高低有任何妥协。
花10,000和花1,000买到的实木门,保养不好,同样都会有开裂的风险;这种裂不可预测,清晨傍晚可能会裂、春夏秋冬可能会裂、南方北方也可能会裂;更糟糕的是,一旦开裂,则很难复原。
如此种种,虽然裂就一个字,但让人看一次就难受一次;这种裂,说不上痛彻心扉,但每每看到,就如鲠在喉。
01 “裂”的科学
1、木材的各向异性,这是木材作为一种天然材料的自带属性。从科学角度来说,由于木材的天然性,使得构成它细胞的物质排列方向十分随机,使木材在不同方向上,随着外界条件的变化,产生不同程度的收缩,进而会产生开裂等现象。用人话说,就是木材各个方向材性不同。

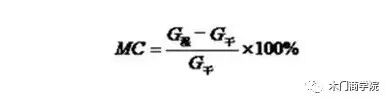
2、木材含水率即木材中水分含量的多少,是木材中水分含量与木材质量之比的百分数,用MC表示。木材本身的含水率和门的开裂密切相关,其含水率可通过干燥和测量来进行控制,常用以下公式计算:

公式中,G湿是湿木材的质量/g;G干是绝干木材的质量/g。

3、纤维饱和点,严肃一点来说,当木材中的自由水完全蒸发,而细胞壁中吸着水的量处于饱和状态时的含水率,称之为纤维饱和点(Fiber saturation point,简称FSP)。通俗一点来说,木材中的含水率高于这个点,则木材形状不会发生很大改变;而当木材含水率低于这个点,则木材形状会随外界变化产生较大改变。
▼ 下图对木材中水分的存在状态和位置有比较直观的说明。

▼ 这样一张表来进行各地区平衡含水率的查询。

结论就是这么DUANG~~~出来了,简单点说,其实还是水和力的问题。
02“裂”的自然
水:在接触实木门的时候,由于木材材性、使用环境、使用习惯等不注意,很容易使门中木材本身的含水率和纤维受力情况发生变化。
比如,阳光的过度照射、屋子里过于干燥的空气、门表面长时间浸泡酸/碱等各种液体、暴力运输……都会使门具备开裂的“潜质”。

面对着门的开裂,商家们能做的就是把好质量的关、做好门保养宣传。
03“裂”的真实
这就是为什么实木门的商家都要来上这么一句话“实木门的木材开裂是一种天然属性”。因为,这真的是一种天然属性。

开裂和变形是实木门普遍的存在,不管高中低档材料都普遍存在,几百块的门和几千块的门同样存在这类问题,木材含水率、门结构、日常使用注意事项等都是尽可能的减小出现问题的几率,而不是杜绝。
也是因为木材有脾气,有性格所以大家才喜欢的吧?
作为负责任的实木门商家,我们在制作产品时,对木材的天然开裂也进行了反复研究。经过结构设计、含水率测试、人工质检、层层包装等工序,确保送到您家的门都是合格产品。
万一有了一万,我们也会为您提供及时的售后服务,让您后顾无忧。毕竟,门不是情怀产物,任何工厂与商家都不该有借口!
如果通过肉眼观察发现没有裂开的细微裂纹,这就非常容易解决,用502胶水沿着裂纹滴进去即可,再用刀片把多余的胶水轻轻地刮去,但是注意不要用刀片伤了门的油漆面。如果是已经裂开的小裂缝,处理会相对复杂。为大家提供两种紧急补救措施,仅供参考。
1、把剪成碎屑的旧书报、适量明矾、清水一起煮成糊状,小心嵌入裂缝中,静待凝固。
2、白胶水+木屑搅拌均匀,嵌入缝隙,一天一夜之后用砂纸磨光即可。
入驻
企业入驻成功 可尊享多重特权
入驻热线:18175151895
请手机扫码访问
小程序
小程序更便捷的查找产品
为您提供专业帮买咨询服务
请用微信扫码
公众号
微信公众号,收获商机
微信扫码关注
顶部